Olá pessoal estamos voltando para a nossa série que fala um pouco da evolução gráfica dos jogos, nesta Parte 2 vamos mergulhar na era em que os desenvolvedores se tornaram verdadeiros ilusionistas.
Se você ainda não viu a primeira parte dessa história confira aqui: Ideias em jogo: A Arte do Ponto e da Linha – Quebrando o Controle
Após o fatídico Crash de 1983, a indústria de jogos não apenas sobreviveu; ela se reinventou sob uma nova filosofia: se o hardware ainda não pode processar o mundo real, vamos aprender a enganar o olho humano. Nesta segunda parte da nossa jornada pela evolução gráfica, saímos dos pontos e linhas para entrar na era dos mosaicos digitais e das ilusões de profundidade.
1. A Fênix do Silício e a Ditadura dos “Tiles”
Hoje, não temos tantas preocupações como havia antigamente. O armazenamento Blu-ray, drives de terabytes e cloud (sistemas online) deixam os devs numa forma bem cômoda, à medida que o código e os recursos se expandem para preencher um espaço cada vez maior em disco. Antigamente, sendo mais preciso, vamos a 30 anos atrás, onde as equipes de desenvolvimento com a pequena equipe de Miyamoto e Tezuka, que conseguiu colocar 32 fases, mais de uma dúzia de inimigos, física de plataforma firme, uma série de efeitos sonoros e uma trilha sonora memorável de quatro instrumentos em absurdos 40KB — sim, quilosbytes — da ROM que conhecemos como Super Mario Bros.
Quando a Nintendo lançou o Famicom (nosso querido NES) em 1983, ela trouxe uma arquitetura que definiria décadas de design: a PPU (Picture Processing Unit). Diferente do Atari, que “caçava o feixe de elétrons”, o NES trabalhava com um sistema de Tiles (azulejos).
O NES PPU, ou Unidade de Processamento de Imagem, gera um sinal de vídeo composto com 240 linhas de pixels, projetado para ser recebido por uma televisão. Com seu próprio espaço de endereçamento, que normalmente contém 10 kilobytes de memória: 8 kilobytes de ROM ou RAM no Game Pak (possivelmente mais com um dos mapeadores comuns) para armazenar as formas dos blocos de fundo e sprites, além de 2 kilobytes de RAM no console para armazenar um ou dois mapas. Dois espaços de endereçamento separados e menores armazenam uma paleta, que controla quais cores estão associadas a vários índices, e OAM (Object Attribute Memory), que armazena a posição, orientação, forma e cor dos sprites, ou objetos em movimento independente. Esses são internos da própria PPU e, embora a paleta seja composta por memória estática, o OAM usa memória dinâmica (que vai decair lentamente se a PPU não estiver renderizando). Vejam como programar aqui.
A Engenharia do Mosaico
Imagine que a tela é um imenso mosaico de 8×8 pixels. Para economizar memória, os desenvolvedores não desenhavam a tela inteira; eles criavam um “banco de padrões”. Se você tinha uma nuvem, ela era composta por 4 ou 5 tiles repetidos e espelhados.
- O Desafio da Paleta: O NES tinha uma limitação severa de cores simultâneas. Isso forçou os artistas a entenderem de Teoria das Cores para criar contraste e profundidade usando apenas 3 cores por sprite (mais uma transparente).

- O Toque Brasileiro: No Brasil, essa era foi marcada pela onipresença dos clones de NES (os famiclones) e pela resistência heróica do Master System, distribuído pela Tectoy. O console da Sega, tecnicamente superior em cores, nos ensinou que, na guerra dos pixels, cada tom a mais no degradê de um céu contava uma história diferente.
Aqui cabe uma boa curiosidade sobre o game Mônica no Castelo do Dragão é um jogo de plataforma em 2D com elementos de RPG, que é uma reprogramação gráfica e textual do jogo da Sega Wonder Boy in Monster Land.

2. A Guerra das Camadas: O Parallax e a Falsa Profundidade
Com a chegada dos 16 bits (Mega Drive e SNES), a “tela plana” começou a ganhar volume. Aqui as plataformas tinhas seus truques:
No Mega Drive
Antes pensar ma renderização no Mega Drive, ou seja como precisamos entender as imagens para programar, é preciso entender os três pilares da força bruta do console:
- CPU Principal: Motorola 68000 (7.67 MHz). É aqui que a maior parte do seu código rodará.
- Coprocessador: Zilog Z80 (3.58 MHz). Geralmente dedicado ao som e controle de drivers de áudio.
- VDP (Video Display Processor): Responsável por processar tiles, planos de fundo (Scroll A e B) e sprites. Ele trabalha com uma paleta de cores limitada (512 cores no total, mas apenas 64 simultâneas na tela).
O hardware do Mega Drive empilha quatro camadas principais de forma fixa. O VDP varre cada scanline horizontal e decide qual pixel de qual camada mostrar com base em transparência e prioridade:

Plane A (Foreground): Geralmente usado para o cenário mais próximo do jogador.
Plane B (Background): A camada de fundo, permitindo o famoso efeito de paralaxe (vamos falar disso mais a frente).
Sprite Layer: Até 80 sprites globais (máximo de 20 sprites ou 320 pixels por linha).
Window Plane: Uma subseção rígida do Plane A que não sofre scroll (ideal para HUDs/Placar).

No Super Nintendo
Se a programação do Mega Drive é focada em “força bruta” e elegância do código (graças ao 68000), programar para o Super Nintendo (SNES) é como reger uma orquestra de chips especializados. É um hardware mais complexo, com uma CPU mais lenta, mas com um subsistema de vídeo e áudio muito mais avançado para a época.

O SNES não tem apenas camadas fixas; ele tem 8 Modos de Vídeo (Mode 0 a Mode 7). O programador escolhe o modo conforme a necessidade do jogo:
- Mode 1: O mais comum. 3 planos de fundo (dois de 16 cores e um de 4 cores).
- Mode 7 (O trunfo): Permite aplicar transformações afins (rotação e escala) em um único plano de fundo 2D de 256 cores. Isso é basicamente uma matriz de transformação aplicada a cada pixel da linha de varredura, simulando um plano 3D.
- Cores: O SNES trabalha com uma paleta mestre de 32.768 cores ($15$-bit), permitindo degradês e transparências (Alpha Blending via hardware) que o Mega Drive não conseguia fazer nativamente.
Fonte: https://archive.org/details/SNESDevManual
HDMA: O “Segredo” do SNES
Se no Mega Drive usamos interrupções de linha (H-Int), no SNES temos o HDMA (H-Blank Direct Memory Access). Ele permite que o programador agende transferências de dados para os registros do PPU automaticamente a cada linha desenhada, sem usar a CPU. Isso era usado para:
- Mudar a cor do céu (gradientes).
- Efeitos de distorção de água (mudando o scroll horizontal linha por linha).
- Efeitos de profundidade em janelas.

Mas o grande segredo e truque dessa era atende pelo nome de Parallax Scrolling.
Enganando o Cérebro
O conceito é simples, mas sua execução foi uma obra de arte da programação: mover diferentes planos de fundo em velocidades distintas. Ao mover o cenário distante mais devagar que o cenário próximo, o hardware simulava a percepção de distância do olho humano.
- Exemplo Clássico: Em Sonic the Hedgehog, as montanhas ao fundo parecem estar a quilômetros de distância, não porque o console processava um ambiente 3D, mas porque a velocidade de deslocamento daqueles pixels era matematicamente calculada para simular o horizonte.
Mas onde surgiu o Paralax?
O efeito de paralaxe (parallax) como técnica de animação e profundidade, especialmente a “rolagem parallax” (parallax scrolling) usada em jogos e design web, teve suas raízes consolidadas pela Walt Disney na década de 1930.
Walt Disney e sua equipe desenvolveram a câmera multiplano para criar um efeito tridimensional em animações 2D. Essa técnica consistia em mover diferentes camadas de arte (background, meio e primeiro plano) a velocidades distintas.
Mas o mais atento nesse texto deve perguntar: Mas o Master System e o NES não tinham o efeito Parallax?
De certa forma sim, mas há uma diferença fundamental de arquitetura: o Master System e o NES faziam parallax por “software” (truques de temporização), enquanto o Mega Drive e o SNES faziam por hardware (camadas nativas).
3. Mode 7: A Matemática Curvando o Plano
Se houve um divisor de águas técnico no início dos anos 90, este foi o Mode 7 do Super Nintendo. Aqui, a Nintendo e a Playtronic (que representava a marca no Brasil) mostravam algo que parecia feitiçaria.
Tecnicamente, o Mode 7 não era 3D. Ele usa uma matriz de transformação aplicada a uma única camada de fundo. O hardware permitia que essa camada fosse rotacionada e escalonada em tempo real.
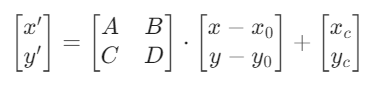
O Mode 7 é pura álgebra linear. O PPU aplica uma transformação afim para cada pixel da scanline. A fórmula básica que o hardware calcula é:

Onde:
- [x, y]: A posição do pixel que o “canhão de elétrons” está desenhando na TV agora.
- [X0, Y0]: O Pivot. É o centro da tela onde a transformação (rotação/escala) acontece. Geralmente é o centro da tela (ex: 128, 112).
- [Xc, Yc]: A Câmera. É a coordenada X, Y no seu mapa de jogo (a pista) onde o centro da tela está “olhando”.
- [x’, y’]: O resultado. É a coordenada exata dentro do seu mapa de tiles de onde o VDP vai “buscar” a cor para pintar o pixel atual.
Essa matriz é o motor por trás de clássicos como F-Zero e Super Mario Kart. Aqui você pode visualizar essa equação como um Shader de Fragmento primitivo, mas executado em hardware fixo e em tempo real para cada pixel da linha de varredura.
O segredo do efeito “3D” (como em F-Zero ou Mario Kart) é usar o HDMA para alterar os valores de escala (A e D) linha por linha, criando uma perspectiva de fuga.
- O Impacto: Jogos como F-Zero e Super Mario Kart criaram a sensação de “chão” e “pista”, permitindo que o jogador fizesse curvas e visse o cenário se distorcer. Foi o primeiro passo acadêmico importante na transição do pensamento bidimensional para o espacial.
- Uma curiosidade: O Mode 7 só consegue processar um único plano. É por isso que em Super Mario Kart, você não vê pontes ou túneis onde um caminho passa por cima do outro; o hardware está matematicamente “preso” a uma única superfície plana transformada.
4. O Truque Final: Quando o 2D se tornou Escultura (Donkey Kong Country)
Em 1994, quando todos achavam que o Super Nintendo tinha chegado ao seu limite, a Rare lançou Donkey Kong Country. O impacto visual foi comparável ao que sentimos hoje com o Ray Tracing.
A criação de Donkey Kong Country (DKC) em 1994 não foi apenas o lançamento de um jogo de sucesso, mas uma manobra tecnológica agressiva da Rare e da Nintendo para provar que o hardware de 16 bits ainda podia competir com a então emergente geração de 32 bits.
O Investimento de Risco: Silicon Graphics (SGI)
No início dos anos 90, os irmãos Stamper (fundadores da Rare) tomaram a decisão audaciosa de investir quase todo o lucro da empresa em estações de trabalho da Silicon Graphics. Na época, essas máquinas eram o estado da arte em computação gráfica, utilizadas por Hollywood em filmes como Terminator 2 e Jurassic Park.
- O Custo: Cada estação custava cerca de £80.000 (aproximadamente 95 mil euros em valores da época).
- Poder de Fogo: A Rare possuía o segundo maior parque computacional da SGI no Reino Unido, atrás apenas da Boeing. A máquina principal de renderização foi apelidada de “Deathstar” (Estrela da Morte) e era tão potente (e quente) que exigia um sistema de refrigeração industrial dedicado para não derreter os circuitos.
A Técnica ACM (Advanced Computer Modelling)
O grande diferencial técnico foi o processo que a Rare batizou de ACM. Em vez de desenhar sprites pixel a pixel manualmente, o fluxo era:
- Modelagem 3D: Os personagens eram criados como modelos matemáticos completos (wireframes) no software Alias PowerAnimator.
- Rigging e Animação: Eles recebiam esqueletos digitais, permitindo movimentos fluidos e anatomicamente precisos.
- Renderização Prévia: O modelo 3D era “iluminado” e renderizado nas estações SGI, gerando imagens de alta fidelidade com sombras e texturas realistas.
- Conversão para Sprites: Essas imagens 2D renderizadas eram então comprimidas para caber na paleta de cores e na memória do SNES. O resultado dava a ilusão de que o console estava processando 3D em tempo real, quando na verdade ele estava apenas exibindo imagens estáticas de altíssima qualidade.
Curiosidades do Desenvolvimento
- Animação “Equina”: A equipe visitou o zoológico de Twycross para estudar gorilas reais, mas descobriu que eles eram imprevisíveis e não corriam de forma “cinematográfica”. Após 15 tentativas frustradas de animar a corrida de Donkey Kong, Steve Mayles baseou o galope do personagem no movimento de um cavalo, o que deu o ritmo dinâmico necessário ao jogo.
- A Rare não usou o hardware do console para criar os gráficos, mas sim para exibi-los. Eles utilizaram estações de trabalho de altíssimo custo da Silicon Graphics (SGI) — as mesmas usadas para os efeitos de Jurassic Park — para modelar personagens em 3D real. Depois, esses modelos eram “achatados” em sprites de alta fidelidade.
- A Mão de Miyamoto: Shigeru Miyamoto atuou como consultor e foi dele a ideia de dar a gravata a Donkey Kong para torná-lo mais amigável, além de sugerir o movimento de bater as mãos no chão para revelar segredos.
- Som de Vanguarda: David Wise compôs a trilha sonora enfrentando a barreira dos 64 KB de memória de áudio do SNES. Para a icônica “Aquatic Ambience”, ele levou cinco semanas programando um emulador de wave sequencing para extrair sons atmosféricos que o chip da Sony (SPC700) não deveria ser capaz de produzir nativamente.
Por que foi revolucionário?
Donkey Kong Country foi o marco do “Canto do Cisne” dos 16 bits. Ele provou que a otimização de software e o uso de pré-computação de ativos (asset pre-rendering) poderiam estender a vida útil de um hardware por anos.
O impacto visual foi tão grande que, durante a feira CES de 1994, muitos desenvolvedores da concorrência acreditaram que a Nintendo estava escondendo um chip especial dentro do cartucho ou que o jogo estava rodando em um hardware secreto de 32 bits escondido sob a bancada. Na verdade, era “apenas” o poder da computação gráfica de ponta aplicada de forma inteligente a um console de 1990.
A Lição: Foi a prova cabal de que a computação gráfica é uma dança entre a capacidade de processamento e a astúcia artística. O SNES “pensava” que estava rodando um jogo de plataforma comum, mas o jogador estava vendo modelos com iluminação e sombreamento computacional de ponta.
5. O Amanhecer do Triângulo: O Chip Super FX
Não podemos encerrar esta fase sem mencionar o nascimento do polígono real nos consoles de mesa. Enquanto o PC já experimentava mundos vetoriais, os consoles precisavam de ajuda externa.
Se o Mode 7 era o truque de perspectiva do SNES, o Super FX foi a sua primeira placa de vídeo dedicada. O Super FX é o exemplo perfeito de como o software e o hardware especializado podem romper os limites de uma arquitetura legada.

Enquanto o SNES sofria para processar polígonos, uma pequena empresa britânica chamada Argonaut Games (liderada por Jez San) apareceu com uma demo técnica de um mundo 3D rodando no Game Boy. A Nintendo ficou tão impressionada que os contratou para criar um hardware que pudesse fazer o mesmo no Super Nintendo.
O resultado foi o GSU (Graphics Support Unit), popularmente conhecido como Super FX. Ele não era apenas um chip de suporte; era um processador RISC de 16 bits completo embutido dentro do cartucho.
O lançamento de Star Fox introduziu o chip Super FX embutido no cartucho. Pela primeira vez, não estávamos vendo desenhos (bitmaps), mas sim matemática geométrica sendo calculada em tempo real:
- Os triângulos (polígonos) substituíram os sprites.
- A câmera podia girar livremente em torno de um objeto.
- Nascia ali o DNA do que viria a ser o PlayStation e o Nintendo 64.
A CPU do SNES (3.58 MHz) era lenta demais para calcular as transformações de matrizes necessárias para polígonos em 3D. O Super FX assumia essa carga:
- Velocidade: O Super FX original rodava a 10.5 MHz (e a versão GSU-2, de Yoshi’s Island, chegava a 21 MHz).
- Pipeline de Renderização: Enquanto a CPU do SNES cuidava da lógica do jogo (colisões, HUD), o Super FX desenhava os polígonos em um buffer interno.
- Plotting de Pixels: Ele possuía instruções dedicadas para desenhar pixels individuais na RAM do cartucho, algo que o SNES nativamente não gostava de fazer (lembra que ele prefere Tiles?).
Conclusão: As “mentirinhas” tecnológicas que criaram um mundo
A segunda geração de consoles e a era dos 16 bits nos ensinaram que a computação gráfica é a arte de gerenciar limites. O 3D não nasceu de uma hora para outra; ele foi sendo “provocado” através de camadas de parallax, rotações de planos e chips auxiliares.
Fica a provocação para o debate:
Será que a busca pelo realismo absoluto nos fez perder a criatividade que as limitações dos 16 bits nos impunham?
O “engano visual” de Donkey Kong Country é mais ou menos impressionante do que um jogo fotorrealista de hoje?
Na próxima e última parte da nossa trilogia, vamos entrar na era da aceleração gráfica, das GPUs dedicadas e do momento em que o pixel finalmente se tornou invisível.
Referências para Consulta:
- ALTICE, Nathan. I Am Error: The Nintendo Family Computer / Entertainment System Platform. MIT Press, 2015.
- SCHEFF, Steven. The Ultimate Guide to SNES Graphics: Mode 7 and Beyond. Technical Paper, 2021.
- HOROWITZ, Ken. The Sega Arcade Revolution: A History. McFarland, 2018.
- RARE LTD. The Making of Donkey Kong Country. SGI Workstation Documentation Archive.
- ARGONAUT GAMES. The Development of the Super FX Chip. GDC Vault Retrospective.
- TECTOY. História dos Videogames no Brasil: O Legado do Master System.
- SCHELL, Jesse. The Art of Game Design: A Book of Lenses. (Focado em percepção visual).
- WOLF, Mark J. P. The Video Game Explosion.
- MIT PRESS. The Game That Never Ends: How Lawyers Shape the Game Industry. (Para o contexto das licenças entre Sega e Nintendo).
- DIGITAL FOUNDRY. SNES vs Mega Drive: The 16-bit Console War Analyzed.

Professor, Analista de Sistemas, Presidente da UCEG e pai do Icaro.
“Os jogos podem mudar o mundo”
